alldieselservis.ru

非 對稱 加密 私 鑰 如何 轉換 (98) 사진

密码学基础一对称加密和非对称加密| 登链社区| 区块链技术社区

RSA 算法--基本原理篇· GitBook

常见加密算法总结| JavaGuide

HTTP 基础知识之对称加密与非对称加密- 方达达- 博客园

一文读懂加密事实:信任最小化的计算和记录

阿里安全开放平台-阿里聚安全

对称加密与非对称加密:主要差异解释

HTTPS安全机制:从加密到证书全解析-腾讯云开发者社区-腾讯云

比特币钱包、交易所又出事了?千万级资金被盗,大佬也翻车

浅析HTTPS原理:网络通信的3大问题、对称加密算法、非对称加密算法、对称+非对称交换密钥具体流程及安全隐患、数字证书如何生成颁发如何 验证、证书链、hash算法比较摘要防止篡改的流程、HMAC消息认证码对hash的优化、HTTPS的宏观安全模型、安全连接建立流程-

如何使用RSA+AES进行混合加密。

javascript - 安全地在前后端之间传输数据- 「1」技术预研- 边城客栈- SegmentFault 思否

什么是会话密钥?|会话密钥和TLS握手| Cloudflare

HTTPS协议原理】数据加密、如何防止中间人攻击、证书和签名、HTTPS完整工作流程-腾讯云开发者社区-腾讯云

为什么用公钥加密却不能用公钥解密?-公钥加密私钥解密

HTTPS 温故知新(五) —— TLS 中的密钥计算

通过GoLang 全面了解HTTPS - 知乎

配置解密转换组件解密数据-智能数据建设与治理Dataphin-阿里云

对称加密公钥加密单向加密的原理_51CTO博客_rsa公钥加密还是私钥加密

RSA 加密是什麼,其運作原理為何? | NordVPN

IM服务中的消息加密机制是怎样的? - 环信

翱游公钥密码算法

使用非对称密钥- 密钥管理服务KMS | 百度智能云文档

密码学基础一对称加密和非对称加密| 登链社区| 区块链技术社区

对称加密与非对称加密🚀加密算法分对称加密和非对称加密。此外,还有一类不需要密钥的散列算法。散列算法主要有SHA-1、M - 掘金

非对称加密了解_搞懂非对称加密-CSDN博客

加密货币中的“加密”解析- 加密技术基础、在加密货币中的应用、保障与挑战| CoinGlass

HTTP协议-19:对称加密与非对称加密、数字签名与证书

私鑰、公鑰與地址-加密貨幣在區塊鏈中的安全機制– 桑幣區識Zombit

加密的核心概念| Surveillance Self-Defense

带你一步步解析HTTPS_吴师兄学算法-五分钟学算法

什么是加密货币中的公钥和私钥?比特币钱包(实际的)工作原理指南

对称加密和非对称加密算法对比-电子工程专辑

密码技术简明教程(一):对称加密和非对称加密- Jiajun的技术笔记

加密的核心概念| Surveillance Self-Defense

HTTP协议:19、对称加密和非对称加密- 知乎

密码学基础一对称加密和非对称加密| 登链社区| 区块链技术社区

一文读懂加密事实:信任最小化的计算和记录

15 | 对称加密与非对称加密各自的应用场景

密码技术系列Part 2 — 公钥加密. 在对称密码中,由于加密和解密使用的密钥是相同的,因此必须向接受者配送密钥。而密钥… | by  BigNerdCoding | Medium

关于公钥私钥加密--最形象的解释— Steemit

PKI - 02 对称与非对称密钥算法-腾讯云开发者社区-腾讯云

Node.js理论实践之《加解密与数字签名》对称加密(Symmetric Cryptography),以DES,AES - 掘金

非对称加密算法- 抖音百科

非对称加密- princessd8251 - 博客园

结合对称加密、非对称加密浅析HTTPS协议该篇文章通过结合部分大佬关于对称加密、非对称加密的赘述,从加密的角度来分析HT - 掘金

77 | 非对称密码应用:DH密钥交换协议

密码学基础一对称加密和非对称加密| 登链社区| 区块链技术社区

HTTPS 加密原理1 对称加密即消息使用同一个密钥进行加密和解密。 优点:很快、方便缺点:容易被截取2 非对称加- 掘金

什么是密文? 重要性、类型和示例

24 固若金汤的根本(上):对称加密与非对称加密

什么是加密货币中的公钥和私钥?比特币钱包(实际的)工作原理指南

PKI - 数字签名与数字证书-腾讯云开发者社区-腾讯云

聊一聊加密解密· Issue #64 · aermin/blog

PKI - 02 对称与非对称密钥算法-腾讯云开发者社区-腾讯云

对称加密技术非对称加密技术的含义- 蹦极的考拉- 博客园

对称加密与非对称加密,到底有啥区别?-阿里云开发者社区

· 什麼是非對稱加密? 不同於對稱加密,在非對稱加密中,則是會有「兩把」密鑰存在。 在這兩把密鑰中,其中一把會叫做「公鑰」(也就是

IM开发中如何实现消息的加密和解密? - 环信

非对称加密- 布尔- - 博客园

图灵社区

USACO p37 17 原始加密

什么是非对称加密? - Babypips.com

让数据传输更优雅:SpringBoot前后端加密技巧全攻略-51CTO.COM

对称加密与非对称加密-电子工程专辑

加密原理详解:对称式加密VS非对称式加密_51CTO博客_对称加密非对称加密

Android加密学API简介- 文章- 开发者社区- 火山引擎

76 | 非对称密码应用:PKI证书体系

带你一步步解析HTTPS_吴师兄学算法-五分钟学算法

· 什麼是非對稱加密? 不同於對稱加密,在非對稱加密中,則是會有「兩把」密鑰存在。 在這兩把密鑰中,其中一把會叫做「公鑰」(也就是

5分钟了解对称加密和非对称加密_对称加解密与非对称加解密-CSDN博客

How symmetric and asymmetric encryption and digital signatures work

使用自定义密钥在线加解密小数据_使用密钥_密钥管理_用户指南_密码安全中心DEW-华为云

什么是加密货币中的公钥和私钥?比特币钱包(实际的)工作原理指南

加密SDK的加密解密及签名验签工作原理-密钥管理服务-阿里云

对称加密与非对称加密:关键区别解析

分享】HarmonyOS 非对称加密-RSA-华为开发者话题| 华为开发者联盟

云原生安全密钥管理服务为创新成长企业保驾护航| 亚马逊AWS官方博客

对称密钥加密- 维基百科,自由的百科全书

对称加密算法:长期有效的加密(上)- 沃通SSL证书!

hutool使用aes加密hutool加解密_ctaxnews的技术博客_51CTO博客

加密签名与数字证书体系的原理及实践-开发者社区-阿里云

非对称加密体系简述- 低熵体的博客

加密货币中的私钥是什么?

什么是非对称加密? - Babypips.com

GitHub - adgar-shi/YCToolLib: App综合防抓包实践,关闭代理,设置配置文件;设置单向认证或双向认证;对数据加密和解密;sign签名参数;防止xposed,root,va挂载等操作。  比较通用全面的防抓包技术方案!

RSA加密算法流程图模板_ProcessOn思维导图、流程图

JAVA实现非对称加密_学习笔记_慕课网

为什么非对称加密比对称加密慢? - 知乎

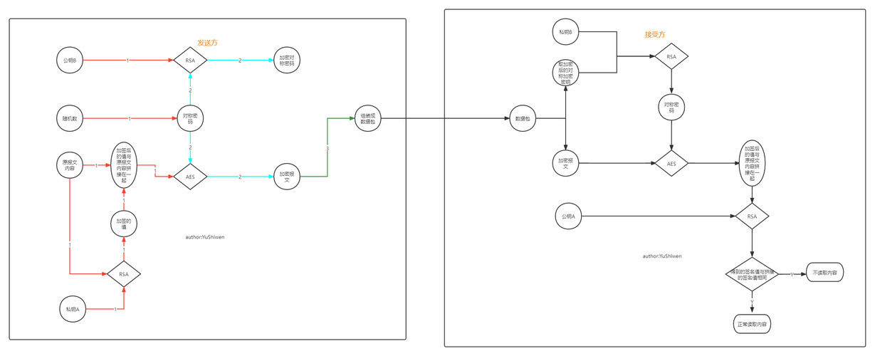
RSA加解密与签名流程流程图模板_ProcessOn思维导图、流程图

设备即私钥:EverID 的Web3 账户解决方案- PermaDAO - Medium

RSA 加密是什麼,其運作原理為何? | NordVPN

密码学——对称加密, 非对称加密和CA_非对称加密ca-CSDN博客

RSA中公钥和私钥到底哪个才是用来加密和哪个用来解密-进城务工人员小梅

HTTPS安全机制:从加密到证书全解析-腾讯云开发者社区-腾讯云

非對稱式加密」是什麼、與對稱加密的差異與應用,為何是區塊鏈安全核心? | 動區動趨-最具影響力的區塊鏈新聞媒體

对称加密与非对称加密_对称加密算法中加密密钥可以公开-CSDN博客

20 февраль 0 0
2023 copyright text.