alldieselservis.ru
alldieselservis.ru
Найти
Alldieselservis リップル
»
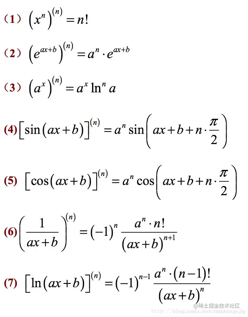
導數 公式
» 一 階 導數 公式 (94) 사진
一 階 導數 公式 (94) 사진
0
1
2
3
4
5
20 февраль
0
0
導數 公式